/    /  Debroglie’s Wave Equation

Debroglie’s Wave Equation

Dual Behaviour of Matter:

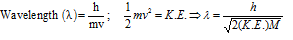
We studied before that the light possesses both wave and particle character i.e., dual character. de-Broglie in 1924 proposed that just like light, all the matter should exhibit both particle and wave-like properties i.e., dual behaviour.

Just like light possesses wavelength and momentum, all the matter including electrons should have wavelength and momentum.

de-Broglie gave an expression for the wavelength and momentum of all material particles.

Wave 23 (i2tutorials)

Where ‘m’ is the mass of the particle

h=Planck’s constant = 6.626 × 10-34 Js

‘v’ is the velocity of the particle

And the product of mass and velocity is the momentum of the particle.

Momentum ) = mv

Wave 24 (i2tutorials)

de-Broglie’s proposal was conferred after some experiments which confirmed both particle and wave nature of electron.

 

Significance of de-Broglie’s Relationship

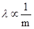
de-Broglie’s relationship is not significant to the macroscopic objects. This is because macroscopic objects have large masses and if we apply de-Broglie’s relationship to large moving objects then the wavelength associated with the object is very short. Because wavelength is inversely proportional to mass.

      Wave 25 (i2tutorials), for moving object

 

This short wavelength is out of the detection limits. Therefore the term ‘wavelength’ is insignificant for macroscopic moving objects.