Derivation of Radius & its Energy
Radius of Various Orbits
Putting the value of (Constants) in the above equation
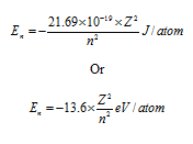
Energy of Electron
Now putting the value of we get : π , k , e, m, h , we get
– On increasing radius , K.E. decreases.
– On increasing radius, P.E. increases.
– On increasing radius, total energy increases.
Energy difference between two energy levels:



