Hydrogen Spectrum
1. The line spectrum of hydrogen is obtained by passing an electric discharge through hydrogen gas at low pressure,. Hydrogen molecule splits up into atoms.
2. These electrons absorb and energy electrons get excited. When these electrons come back to ground state they emit electromagnetic radiation of discrete frequencies.
3. When these emitted radiations are passed through prism then discontinuous line spectrum of several isolated sharp lines is observed.
4. In 1885 , Balmar showed that if spectral lines are expressed in terms of wavenumber ( ), then the visible lines of the hydrogen spectrum obey the formula
n= Integer equal or greater than 3
5. This series of lines which are obtained by the above formula are called Balmer series.
6. The hydrogen spectrum consists of several series of spectral lines named after their discoverer. These series are Lyman series, Balmer series, Paschen series, Brackett series and Pfund series.
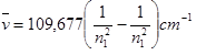
7. Later Johnnes Rydberg gave formula which could describe all the series of lines in the hydrogen spectrum.
Where if n1=1, 2, 3, …..
Then n2 = n1 + 1, n1 + 2, n3 + 3, ….
The value 109,677 cm-1 is called the Rydberg constant for hydrogen.
| Series | n1 | n2 | Spectral region |
| Lyman | 1 | 2,3,….. | Ultraviolet |
| Balmer | 2 | 3,4,….. | Visible |
| Paschen | 3 | 4,5,….. | Infrared |
| Brackett | 4 | 5,6,….. | Infrared |
| Pfund | 5 | 6,7,….. | Infrared |
| Humphrey | 6 | 7,8,….. | Far infrared |
Interpretation of Hydrogen Spectrum
Number of lines produced when Electron Jumps
The no. of possible lines produced when an e– jumps from nth to 1st orbit = ![]()
Possible lines produced when an e– jumps from n2 to n1 orbit =![]()


