Photoelectric Effect
1. Cathode is usually made up of K, Rb, Cs etc.
2. Clean metallic surface is irradiated by light of appropriate wavelength offrequency ,electrons are ejected from the metal surface called photo electrons & the phenomena is called photoelectric effect.
3. A battery of small potential difference is use to clear the space charge (the electronic charge that gets accumulated in the discharge to be which repels the freshly coming photo electrons).
4. Intensity is the energy of light crossing unit area per unit time.
Photo intensity or Photon flux = no. of photon of a particular wavelength (or frequency) per unit area per unit time.
Observations:
1. Photo-electric effect is observed only when the incident light has a minimum particular value of frequency called threshold frequency & correspondingly the maximum wavelength that can first eject photo electrons from metal surface is called threshold wavelength.
2. Keeping the intensity (photo intensity) of incident light to be constant when frequency of incident light is increased, kinetic energy of ejected photo electrons increases linearly but the no. of ejected photo electrons remains unaffected.
3. Keeping the frequency to be constant when intensity (photo intensity) of incident light is increased ,kinetic energy of ejected photo electronsremains constant but no. of photo electrons linearly increases.
4. Photo current is defined as the charge passing per unit time due to the crossing of photo electrons in metallic wire. Therefore, greater is the photon flux (photo intensity) greater will be the no. of ejected photo electrons &therefore greater will be the photo current.
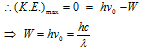
If [capable photon i.e. (threshold frequency)] is the energy of incident photon, then, when it strikes on metal, some of its energy is used up to remove electrons from metal &rest appears as its K.E.
Applying Law of Conservation of Energy.
Where W = work function of metal (It is characteristic of metal &has low value for alkali metals likeRb, Cs, K etc.)
Work function – Work function of metal is defined as the energy required to remove the free electrons from the attractive influence of Kernel of metal.
If then e– just eject out with K.E. = 0
