
Explain about Gaussian Filtering?
Gaussian filters are ideal to start experimenting with filtering because their design can be controlled by manipulating just one variable- the variance.
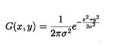
Gaussian filter function is defined as
The Gaussian filter works by using the 2D distribution as a point-spread function. This is achieved by convolving the 2D Gaussian distribution function with the image. We need to produce a discrete approximation to the Gaussian function. This theoretically requires an infinitely large convolution kernel, as the Gaussian distribution is non-zero everywhere. Fortunately, the distribution has approached very close to zero at about three standard deviations from the mean. 99% of the distribution falls within 3 standard deviations. This means we can normally limit the kernel size to contain only values 23 This means we can normally limit the kernel size to contain only values within three standard deviations of the mean.
Gaussian filtering is more effective at smoothing images. It has its basis in the human visual perception system It has been found that in the human visual perception system. It has been found that neurons create a similar filter when processing visual images. The halftone image at left has been smoothed with a Gaussian filter and is displayed to the right.
