/    /  Addition and substraction of vectors by graphical method

Addition and substraction of vectors by graphical method

Addition of Vectors:

Scalars can be added or subtracted following the simple rules of algebra or arithmetic. But vectors do not follow the same rules, because while adding or subtracting vectors, their direction also has to be considered.

 

1. Addition of two vectors in same direction: If two vectors are in the same direction, their resultant is obtained by adding their vector lengths. The direction of resultant is same as the individual vectors.

2. Addition of two vectors in opposite direction: If two vectors are mutually opposite, their resultant is obtained by subtracting the length of smaller vector from that larger vector. The direction of resultant is same as that of larger vector.

 

Triangle law of addition :

If three vectors  are represented completely by the sides of a triangle taken in same order, then the resultant is zero. i.e.

 

Parallelogram law of vector addition:

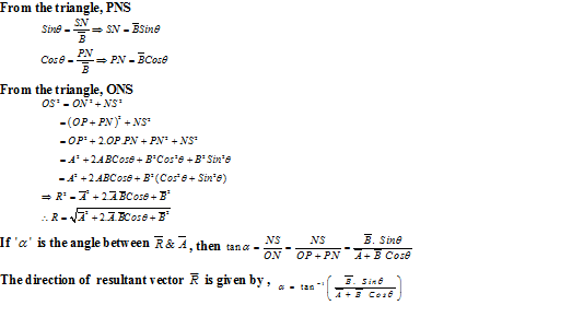
If two vectors are represented in magnitude and direction by the two adjacent sides of a parallelogram drawn from a point, then their resultant is represented in magnitude and direction by the diagonal passing through the same point.

If Motion in plane 4 (i2tutorials) are represented by the adjacent sides of a parallelogram  & ‘ θ ‘  is the angle between Motion in plane 4 (i2tutorials)  .

The diagonal OS represents the resultant Motion in plane6 (i2tutorials)  .

 

Motion in plane5 (i2tutorials)

 

Motion in plane 7 (i2tutorials)

Motion in plane 8 (i2tutorials)