/    /  Relative velocity in two dimensions

Relative velocity in two dimensions

 

Relative velocity:

Velocity of one body with respect to that of another body is called Relative velocity

1. The velocity of `A` with respect to that of `B` is given by Motion in plane 11 (i2tutorials)

2. If ‘A’ and ‘B’ are moving at an angle with one another, then,   velocity of `A` with respect to that of `B` is given by   Motion in plane 12 (i2tutorials)

 

Projectile:

A body projected in to air with some velocity at an angle (other than 90o) with the horizontal is called Projectile.

Examples:

(i) A body dropped from the window of a moving train

(ii) A bullet fired from the gun

(iii) An athlete doing the high jump

(iv) A cricket ball thrown in any direction

(v) A hammer thrown by an athlete.

 

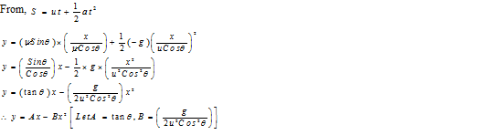
1. Path of Projectile:

Motion in plane 13 (i2tutorials)

If a body is thrown with an initial velocity ‘U’ making an angle   with the horizontal

‘U’ is resolved as

Motion in plane 14 (i2tutorials)

Horizontal displacement covered by the body in time ‘t’

Motion in plane 15 (i2tutorials)

Vertical displacement covered by the body in time ‘t’,

Motion in plane 16 (i2tutorials)

This is the equation of parabola. Thus the trajectory of a projectile is a parabola.

 

2. Maximum height & horizontal range:

Motion in plane 17 (i2tutorials)

Maximum Height (hmax):

At maximum height, V = 0

Motion in plane 18 (i2tutorials)

 

Horizontal Range (R):

Horizontal range = Horizontal component of velocity X Time of flight.

Motion in plane 19 (i2tutorials)

When a projectile is thrown at an angle 450 with the horizontal the range becomes maximum.

For the projectile, two angles of projection for the same range are θ and (90-θ ) & (45+θ ) and (45-θ )

If the range and maximum height of a projectile are equal, the angle of projection is Motion in plane 20 (i2tutorials)

 

 

3. Relation between maximun height & horizontal range:

If a projectile thrown with velocity ‘u’ making an angle ‘θ’  with the horizontal.

Motion in plane 21 (i2tutorials)

 

Time of ascent , Time of descent & Time of flight:

Motion in plane 22 (i2tutorials)

Motion in plane 23 (i2tutorials)

 Motion in plane 24 (i2tutorials)