Calculation of screening constant
Screening effect ( σ ) and effective nuclear charge (Zeff)
1. Valence shell e– suffer force of attraction due to nucleus and force of repulsion due to inner shell electrons.
2. The decrease in force of attraction on valence e– due to inner shell e– is called screening effect or shielding effect. (i.e. total repulsive force is called shielding effect.)
3. Due to screening effect valence shell e– experiences less force of attraction exerted by nucleus. (i.e. total attraction force experienced by valence e– is called Zeff)
4. There is a reduction in nuclear charge due to screening effect. Reduced nuclear charge is called effective nuclear charge.
5. If nuclear charge = Z. Then effective nuclear charge = Zeff – σ(Sigma) = Screening constant or shielding constant. So, Zeff =(Z-σ )
Slater’s rule to know screening constant (σ ):
(a) Screening effect (S.E.) of one e– of the 1s is 0.30.
(b) Screening effect of ns and np (Outermost orbit) electrons is 0.35.
(c) Screening effect of (n-1) penultimate orbit s, p, d, electrons is 0.85.
(d) Screening effect of (n-2) and below all the e– present in s, p, d, f is 1.0.
In transition series Zeff increases by very less amount, i.e. by 0.15 from left to right and hence atomic radii remains almost constant.From top to bottom in a group Zeff remains constant.
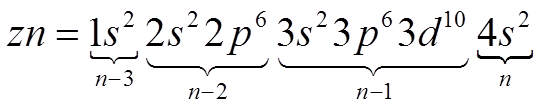
Ex. Zn = 30
Key point:
(i) From left to right in a period Zeff increases
(a) For normal/ Representative elements, In a period nuclear charge increases by +1, while orbit remains same, therefore in a period e– enters in outermost shell and screening effect of outermost electron is increases. So by increasing 1 nuclear charge, Zeff increases by 0.65 (1 – 0.35 = 0.65. That’s why in a period Zeff increases by 0.65 and hence atomic size decreases considerably.
(b) In transition series Z increase by +1 but screening effect increases by 0.85 So Zeff is 0.15 (1-085=0.15) [Because e– enters in (n-1) orbit which ha the value of = 0.85]
(c) For same shell shielding effect has the order as s > p > d > f (due to penetration effect)
(d) Zeff for different ions of an element
(i) Zeff for different ions of an element
Ex. N+ > N > N– = Zeff
(ii) Zeff of isoelectronic species
Ex. H– < Li+ < Be+2 < Be+3 (2e– species)
N-3 < O-2 < F– < Na+ < Mg+2 (10 electronic species)
