
What is the difference between Adagrad, Adadelta and Adam?
Ans: Adagrad:
Adagrad scales alpha for each parameter according to the history of gradients (previous steps) for that parameter which is basically done by dividing current gradient in update rule by the sum of previous gradients. As a result, what happens is that when the gradient is very large, alpha is reduced and vice-versa.
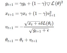
AdaDelta:
AdaDelta also uses exponentially decaying average of gtgt which was our 2nd moment of gradient. But without using alpha that we were traditionally using as learning rate, it introduces xtxt which is the 2nd moment of vtvt.
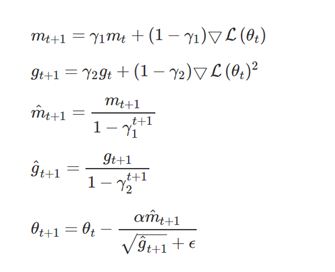
Adam:
It uses both first order moment mtmt and 2nd order moment gtgt but they are both decayed over time. Step size is approximately ±α±α . Step size will decrease, as it approaches minimum.
Share:


